Երկրաչափություն պարապմունք 20

Առաջադրանքներ․

1)Գտե՛ք |a| = 4, |b| = 3 երկարությամբ՝ վեկտորների սկալյար արտադրյալը, եթե դրանց կազմած անկյունը 30° է:

Պատ․՝ 6√3:

2) 45° անկյուն կազմող a և b վեկտորների սկալյար արտադրյալը 8 է,
a = 2√2: Գտե՛ք |b|-ն:

|b|=4

3)Գտե՛ք a և b վեկտորների կազմած անկյունը, եթե
|a| = 5, |b| = 4,  a b = -10:

cosA=-1/2

4)a և b վեկտորների կազմած անկյունը 90° է: Գտե՛ք a(a + b) -ն, եթե
|a| = 5:

Պատ․՝ 25:

5)a և b վեկտորները հակուղղված են: Գտեք 2a և 3b վեկտորների սկալյար արտադրյալը, եթե |a| = 6, |b| = 4 :

Պատ․՝ -24:

6)Գտե՛ք a{3;-4} և b{2;6} վեկտորների սկալյար արտադրյալը:

3×2+(-4)x6=-18

Պատ․՝ -18:

7)a{3;-4}, b{9; -3}, c{6;-2}, d{3;-2} վեկտորներից որո՞նք են ուղղահայաց p {2;6} վեկտորին:

Պատ․՝ c{6;-2}:

8)Գտե՛ք x-ը, եթե a{x;2} և b{4;-2} վեկտորների սկալյար արտադրյալը 12 է:

x=4

9)Տրված են A(2; 3) և C(2; 5) կետերը: Գտե՛ք AC հատվածի միջնակետի կոորդինատները:

?

10)Գտե՛ք y-ների առանցքին զուգահեռ և A(–6; 4) կետով անցնող ուղղի հավասարումը։
?
11)Գտե՛ք |a| = 6, |b| = 8 երկարությամբ վեկտորների սկալյար արտադրյալը, եթե դրանց կազմած անկյունը 60° է:

?

12)Գտնել x-ը, եթե A (2; 3), B(x; 1) կետերի հեռավորությունը 2 է:

x=4

13)Գտնել 3a-ն, եթե a {5;-2}:

3a={15;-6}
14)Տրված են ā {1;1} և b{-2; 8} վեկտորները: Գտե՛ք 5a — 2b վեկտորի կոորդինատները։

{5;5} {-4;16}

Պատ․՝ {9;-11}։
15)Գտե՛ք x-ը, եթե a{x; 3} և b{2; -3} վեկտորների սկալյար արտադրյալը 9 է:

x=9

М.Зощенко. Аристократка

26.04-29.04

рассказ

Михаил Зощенко — русский писатель, известный своими сатирическими и юмористическими рассказами. Он родился в 1894 году и писал о повседневной жизни простых людей, показывая их недостатки с иронией и добрым юмором.

Его произведения отличаются простым, разговорным языком и точными наблюдениями за человеческим поведением. Среди самых известных рассказов — «Аристократка», «Баня», «Ёлка».

Несмотря на популярность, в его жизни были трудные периоды: его критиковали и запрещали печататься. Умер писатель в 1958 году, но его произведения до сих пор читают и изучают в школе.

Рассказы Михаила Зощенко — произведения, в которые влюблены тысячи мальчишек и девчонок всех возрастов. В них описаны различные истории, где дети становятся центральными героями действия. Добрый юмор автора направлен на то, чтобы помочь детям исправить свои недостатки, стать смелее, решительнее, самостоятельнее. Читайте рассказы М. Зощенко, если желаете ненавязчиво объяснить детям, что такое добро и зло, как себя вести в обществе, как найти друга и не потерять дружбу из-за глупых промахов.

«Аристократка»

Какова главная мысль рассказа Зощенко «Аристократка»?

Зощенко хотел показать необразованность и невоспитанность советского общества, его мещанскую сущность с претензией на аристократизм и интеллигентность при отсутствии элементарных знаний о том, как вести себя в обществе.

«История болезни»

«Баня»

«Обезьяний язык»

«Бабушкин подарок»

«Не надо врать»

«Ученая обезьянка»

Հանրահաշիվ պարապմունք 23

1)Պարզեք` հավասարումն արմատներ ունի՞ (եթե ունի, գտեք նրանց գումարը և արտադրյալը).
ա) x2 — x + 1 = 0

D<0

բ) x2 + x + 3 = 0

D<0

գ) x2 + 3x — 2 = 0
D=17
x1+x2=-3
x1*x2=-2
դ) x2 — 3x + 2 = 0
D=1
x1+x2=3
x1*x2=2

2)Առանց լուծելու հավասարումը, որոշեք նրա արմատների նշանները․
ա) x2 — 7x + 12 = 0
բ) x2 + 7x + 12 = 0
գ) x2 + 5x — 14 = 0
դ) x2 — 5x — 14 = 03)x2 + 3x — 1 = 0 հավասարումն ունի երկու արմատներ x1 և x2 ։ Հաշվե՛ք
ա) x1 + x2
բ) x1 * x2
գ) (x1 + x2)2
դ) x12 + x22

Մայիսյան հերոսամարտերն ու <<Կանաչ դաշտը>>

Հայաստանի պատմությունը ցույց է տալիս, որ հայերը միշտ պայքարի մեջ են եղել իրենց ինքնության պահպանման համար։ Նրանք հավերժ կռվել են իրենց կրոնը, մշակույթը պահպանելու և սերնդե-սերունդ փոխանցելու համար։ Ավաղ, պատմության մեջ գրանցվել են կորուստներ և պարտություններ, բայց անկոտրում հայ ժողովուրդը չի դադարել պայքարել և պահպանել այն ինչ ունի։

Ցանկացած կենդանի էակ հավերժ պայքարում է իր ինքնության պահպանման համար, և պատրաստ է ամբողջ ուժի սահմաններում կռվել հայրենիքի բարորության համար։ 1918 թվականին՝ երբ թշնամին սահուն քայլերով մոտենում էր Եևանին, հայերը միացան, մեկ ուժ դարձան և դուրս եկան թշնամու առաջ։ Մայիսի 21-ին՝ չնայած, որ թշնամու զորքը շատ ավելի հզոր էր Սարդարապատում, և առաջին փուլում նրանք կարողացան գրավել Սարդարապատի կայարանն ու գյուղը, սակայն հայերը չկորցրին իրենց ուժը և շարունակեցին պայքարը։ Սա ցույց է տալիս հայերի անկոտրում և պայքարող լինելը։ Այս հերոսամարտին մասնակցություն են ցուցաբերել ոչ միայն տղամարդիկ, այլ նաև մի շարք կանայք և պատանիներ։ Սա բոլորի պայքարն էր և բոլորը հավասար մարտնչում էին և ձգտում հաղթանակի։ Ի վերջո մայիսի 22-ին հայկական զորքը մեծ թափով հարձակվում է թշնամու զորքերի վրա և ազատագրելով Սարդարապատը փառահեղ հաղթանակ է գրանցում։ Այս ճակատամարտը ցույց է տալիս հայերի միասնությունը, երկրի հանդեպ սերը, և հայրենի երկրում անկախ և խաղաղ ապրելու ցանկությւոնը։ Ահա այսպես ազատ և հանգիստ իր հովտում ցանկանում էր ապրել Հրանտ Մաթևոսյանի <<Կանաչ դաշտը>> ստեղծագործության կարմիր ձին։ Մենք՝ մարդիկ, արագ չենք զգում թշնամու գալիքը, իսկ կենդանիները այն շատ արագ և տագնապալից են զգում։ Կարմիր ձին շատ էր անհանգստանում զգալով գայլի մոտենալը, նայց միայն մայրական բնազդը չեր, որ տանջում էր նրան, այլ նաև թշնամուն իր հովտում տեսնելու վտանգը։ Նա՝ ինչպես մարդիկ, պայքարում էր իր բնակավայրի համար, պայքարում էր նրա դեմ, ով խախտել էր իր և իր զավակի անդորրը, սպառնալիք էր հանդիսացել իր հովտում հանգիստ ապրելուն։

Հանրահաշիվ պարապմունք 22

Տեքստային խնդիրների լուծում

1)72 էջը մուտքագրելու համար աշխատակիցներից առաջինը ծախսում է 8 ժ, իսկ երկրորը՝ 9ժ:
ա) Քանի՞ էջ կարող են նրանք միասին մուտքագրել 3 ժամում:

72:8=9
72:9=8
9+8=17
17×3=51

Պատ․՝ 51:
բ) Համատեղ աշխատելով նրանք քանի՞ ժամում կմուտքագրեն 340 էջ:

340:17=20

Պատ․՝ 20:

2)90 էջը մուտքագրելու համար աշխատակիցներից առաջինը ծախսում է 9 ժ, իսկ երկրորդը՝ 10 ժ:
ա) Քանի՞ էջ կարող են նրանք միասին մուտքագրել 4 ժամում:

Պատ․՝ 76:
բ) Համատեղ աշխատելով՝ նրանք քանի՞ ժամում կմուտքագրեն 190 էջ:

Պատ․՝ 10:

3)Առաջին տակառում կա 100 լ հեղուկ, իսկ երկրորդում՝ 75 լ: Առաջին տակառից օրական դատարկվում է 2 լ հեղուկ, իսկ երկրորդից 1,5 լ:
ա) Քանի՞ օր հետո կդատարկվի առաջին տակառը:

100:2=50
բ) Քանի՞ օր հետո տակառների հեղուկները կհավասարվեն:
100-2x=75-1,5x
25=0,5x
x=50

4)Առաջին տակառում կա 120 լ հեղուկ, իսկ երկրորդում՝ 100 լ: Առաջին տակառից՝ օրական դատարկվում է 3 լ հեղուկ, իսկ երկրորդից 2 լ:
ա) Քանի՞ օր հետո կդատարկվի երկրորդ տակառը:

100:2=50
բ) Քանի՞ օր հետո տակառների հեղուկները կհավասարվեն:

120-3x=100-2x
x=20

5)Մի քանի գրքերի համար վճարել են 6000 դրամ: Գրքերից մեկի արժեքը վճարված գումարի 30 %-ն է, իսկ մյուսինը` 40 %–ը:

6000×30:100=1800
6000×40:100=2400
ա) Առաջին գիրքը քանի՞ դրամով է էժան երկրորդից:

2400-1800=600

Պատ․՝ 600:
բ) Որքա՞ն դրամ են վճարել մնացած գրքերի համար:

Պատ․՝ 1800:

6)Մի քանի գրքերի համար վճարել են 9000 դրամ: Գրքերից մեկի արժեքը վճարված գումարի 20 %-ն է, իսկ մյուսինը` 30 %-ը:

9000×20:100=1800
9000×30:10=2700
ա) Առաջին գիրքը քանի՞ դրամով է էժան երկրորդից:

2700-1800=900
բ) Որքա՞ն դրամ են վճարել մնացած գրքերի համար:

2700+1800=4500

7)Երկու օրում շտեմարան բերին 300 տ հացահատիկ, ընդ որում՝ երկրորդ օրը բերեցին առաջին օրը բերածի 20 %-ը:

x/1+x/5=300/1
5x+x=1500
6x=1500
ա) Քանի՞ տոննա հացահատիկ բերեցին շտեմարան առաջին օրը:

x=1500:6=250
բ) Երկրորդ օրը բերված հացահատիկը առաջին օրվա հացահատիկի ո՞ր մասն է կազմում:

250×20:100=50

8)Երկու օրում շտեմարան բերին 520 տ հացահատիկ, ընդ որում՝ երկրորդ օրը բերեցին առաջին օրը բերածի 30 %-ը:
ա) Քանի՞ տոննա հացահատիկ բերեցին շտեմարան առաջին օրը:
բ) Երկրորդ օրը բերված հացահատիկը առաջին օրվա հացահատիկի ո՞ր մասն է կազմում:

Էվոլյուցիայի ապացույցներ

  1. Էվոլյուցիան բնության պատմական զարգացման անշրջելի գործընթաց է։
  2. Հնէաբանական ապացույցներ, բրածո մնացորդներ, ռուդիմենտներ։
  3. Հնէաբանները հայտնաբերել են բրածո անցումային ձևերի մնացորդներ, որոնք ունեն օրգանիզմի հնագույն և նոր ձևերի հատկանիշներ։
  4. Սաղմերի զարգացման ընթացքում հաջորդաբար տեղի է ունենում հատկանիշների տարամիտում։ Սա փաստում է այն մասին, որ բոլոր ողնաշարավորներն առաջացել են մի ընդհանուր նախնուց և էվոլյուցիայի ընթացքում տրոհվել բազմաթիվ ճյուղերի։
  5. Կարծում եմ դրանք կօգնեն ցանկացած օրգանիզմ ավելի լավ ճանաչել։

Երկրաչափություն պարապմունք 19

491. {4;-1}
492. {6;3}
493. √130
494. 3a{12;3}, 2a{8;-2}
495.
496. c{-4;10}, d{6;-15}
497. Պատ․՝ b{-4;8}, c{3;-6}:
498. Պատ․՝ ա) a{-1;3} b{3;-1}, գ) a{-2;3}, b{4;-6}
499. ա) a{-12;32} b{4;10}
-12+4=-8 32+10=42
Պատ․՝ {-8;42}:

բ) a{6;-16} b{6;15}
6+6=12 16+15=31
Պատ․՝ {12;31}:

գ) a{-3;8} b{6;15}
-3-6=-9 8-15=-7
Պատ․՝ {-9;-7}:

Լույս

1.Ինչ է լույսը՝ըստ Նյուտոնի և ըստ Հյուգենսի

Ըստ Նյուտոնի, լույսը լուսատու մարմինների կողմից առաքվող փոքրագույն մասնիկների՝ կորպուսկուլների հոսք է, որոնք տարածվում են ուղղագիծ։ Ըստ Հյուգենսի, լույսը հատուկ՝ «եթեր» միջավայրում տարածվող առաձգական ալիք է, որը տարածվում է լույսի աղբյուրից հեռացող համակենտրոն գնդոլորտների տեսքով:

2.Որ լուսատու մարմինն են անվանում լույսի կետային աղբյուր;

Լույսի կետային աղբյուր են անվանում այն լուսատու մարմնին, որի չափերը չափազանց փոքր են մինչև լուսավորվող մակերևույթը եղած հեռավորության համեմատ։ Այս դեպքում մարմնի ձևն ու ծավալը էական չեն, և այն դիտարկվում է որպես մեկ կետ։

3.Լույսի բնական և արհեստական աղբյուրները

Լույսի աղբյուրները բաժանվում են բնականի և արհեստականի ։ Բնական աղբյուրներն են Արեգակը, աստղերը, կայծակը, լուսատիտիկը և որոշ բակտերիաներ։ Արհեստական աղբյուրներն են էլեկտրական լամպերը, մոմերը, լազերները և այլն։

4.Որն է Արեգակի և Լուսնի լուսարձակման տարբերությունները

Արեգակի և Լուսնի լուսարձակման տարբերությունը այն է, որ Արեգակը ունի սեփական լույս, իսկ Լուսինը անդրադարձնում է Արեգակից եկող լույսը։

5.Ինչ է լուսի ճառագայթը

Լույսի ճառագայթը լուսային էներգիայի տարածման ուղղությունը ցույց տվող երկրաչափական գիծն է։

6.Ինչպես է տարածվում լույսը համասեռ միջավայրում

Լույսը համասեռ միջավայրում տարածվում է ուղիղ։

7.Ինչպես են առաջանում ստվերը և կիսաստվերը

Լույսի ուղղագիծ տարածման հետևանք են հստակ ստվերները, որոնք ընկնում են անթափանց մարմիններից, երբ դրանք լուսավորվում են լույսի կետային աղբյուրից: Եթե լույսի կետային աղբյուրի փոխարեն օգտագործվի ավելի մեծ չափեր ունեցող աղբյուր՝ լամպ, ապա հստակ ստվերի փոխարեն լուսավորված ֆոնին կստանանք ստվեր և կիսաստվեր:

9.Որ լույսն է կոչվում անդրադարձած

Անդրադարձած լույս է կոչվում այն լուսային ճառագայթը, որը որևէ մակերեսի վրա ընկնելուց հետո փոխում է իր ուղղությունը և վերադառնում նախնական միջավայր։

10.Ինչով են տարբերվում ցրիվ և հայելային անդրադարձումները

Ցրիվ և հայելային անդրադարձումները տարբերվում են իրենց մակերևույթի բնույթով և անդրադարձող լույսի ճառագայթների ուղղությամբ։

11.Ինչ է օպտիկական սկավառակը :

Օպտիկական սկավառակը թվային տեղեկատվության պահպանման կրիչ է, որն ունի պլաստիկե սկավառակի տեսք՝ մեջտեղում անցքով։ Տվյալների գրանցումը և ընթերցումը կատարվում է լազերային ճառագայթի միջոցով

12.Ինչ է ճառագայթի անկման հարթությունը

Ճառագայթի անկման հարթությունը այն հարթությունն է, որն անցնում է ընկնող ճառագայթով և անդրադարձնող մակերևույթին անկման կետում տարված ուղղահայացով։

13.Որ անկյունն է կոչվում անկման անկյուն ,և որը անդրադարձման անկյուն

14.Ձևակերպել լույսի անդրադարձման օրենքը

15.Ինչու է առարկայի պատկերը հարթ հայելում  կոչվում կեղծ:Ինպես են կառուցում այդ կեղծ պատկերը

16.Որ երևույթն է կոչվում լույսի բեկում;

17.Ձևակերպել լուսի բեկման օրենքը

18.Անկման,թե բեկման անկյունն

 է ավելի մեծ,երբ լույսը՝ա.օդից անցնում է ջուր,բ.ջրից անցնում է օդ:

«Խենթը-անգրագիտության վերացում»

Կրթությունը բոլոր ժամանակների ամենակարևոր հասկացություններից է եղել երկրի զարգացման և բարգավաճման համար։ Կրթության թեման միշտ արդիական է եղել և բոլորը ձգտել ու ձգտում են ստանալ լավ և որակյալ կրթություն։ Մեր ժամանակներում գործում է բավականին զարգացած կրթական համակարգ, կան տարբեր տեսակի դպրական համալիրներ և ուսումնարաններ, բայց տարիներ առաջ այն եղել է դժվար հասանելի և քիչ զարգացած։

Կրթությունը և՛ պատմության, և՛ գրականության մեջ հավերժ եղել է ազգի գոյության և ինքնության պահպանման հիմնական շարժիչ ուժը։ Տարիներ շարունակ Հայաստանում եղել է կրթության պակաս և դա առաջացրել է համատարած անգրագիտություն։ Սակայն, բարեբախտաբար ԽՍՀՄ-ի տարիներին այն նկատելի աճ գրանցեց և անգրագիտության խնդիրը կարծես վերանում էր։ Այդ տարիներին կրթության խնդրով զբաղվում էին խորհրդային իշխանությունները, սակայն Հայաստանը այդ կարևոր գործը կրեց իր ուսերին և հերթով քայլեր մշակելով զարգացրեց ներքին կրթական համակարգը։ Այս արարքը կարծում եմ շատ ճիշտ և բարենպաստ էր։ Շատ բաներ փոխվեցին, օրինակ՝ եկեղեցին առանձնացվեց կրթական համակարգից, կրոնական առարկաներ վերացվեցին, և կրթությունը արագ սկսեց աճ ապրել։ Բացի նրանից, որ կրթությունը պատմության էջերում չափազանց նշանակալի դեր է ունեցել, այն նաև շատ կարևոր է եղել գրականությանն մեջ։ Րաֆֆին՝ իր <<Խենթը>> վեպով, կարծում եմ ցույց է տալիս թե ինչ խնդիրներ կարող են առաջանալ նաև կրթության պակասից։ Այն հատվածում, որտեղ Վարդանը հետևում է գյուղատնտեսական դպրոցի առօրյային, կարելի է նկատել, որ Վարդանը ունեցել է նման դպրոցում սովորելու պակաս, ինչն էլ ցույց է տալիս, որ վաղ ժամանակներում կրթությունը այդքան բարենպաստ չի եղել։ Բացի դրանից նաև երևում է կրթության շատ արագ զարգացումը և առաջընթացը։ Կարծում եմ Րաֆֆին հենց այդ գաղափարն է ի ցույց դրել։ Կրթությունը ժամանակի հետ արագ և սահուն քայլերով ենթարկվում է զանազան փոփոխությունների և չգիտես թե հաջորդ սերունդը ինչ նոր տեխնոլոգիաներ կկիրառի և կուսումնասիրի։ Այս երկու թեմաներն էլ պարզ նշում են կրթության կարևորագույն դերը թե՛ անհատի, և թե՛ երկրի զարգացման համար։ Առանց կրթության մարդը լիարժեք չէ, իսկ եթե մի երկրում լինել բազմաթիվ անկիրթ և առանց ուսում մարդիկ, այն ուղղակիորեն կմնա նույն տեղում, և չի հասցնի աշխարհին զուգընթաց քայլել։

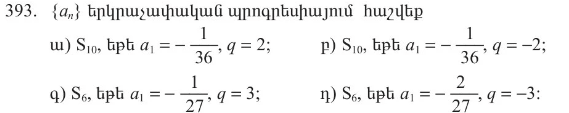
Այսպիսով, կարծում եմ, որ կրթությունը դեռ ունի զարգանալու տեղ և ընդհանրապես, կրթությունը միշտ կունենա աճելու տեղ։ Ես ոչ մի սպասելիքներ չունեմ ապագայի կրթական համակարգից, քանի որ այն արդեն իսկ բավականին զարգացած է։ Վերջում կնշեմ, որ կրթությունը ինձ համար աշխարհում կարևորագույն բաներից է հայրենիքի զարգացման, պահպանման և բարելավման համար։ Երբեք ուշ չէ կրթվել, իսկ գիտելիքը երբեք ավել չի լինում։